Videozáznamy veřejných zastupitelstev
Moderátor: Honza
-
dresina.cachrov
- Příspěvky: 8
- Registrován: pát 12. srp 2011 6:56:11
Re: Videozáznamy veřejných zastupitelstev
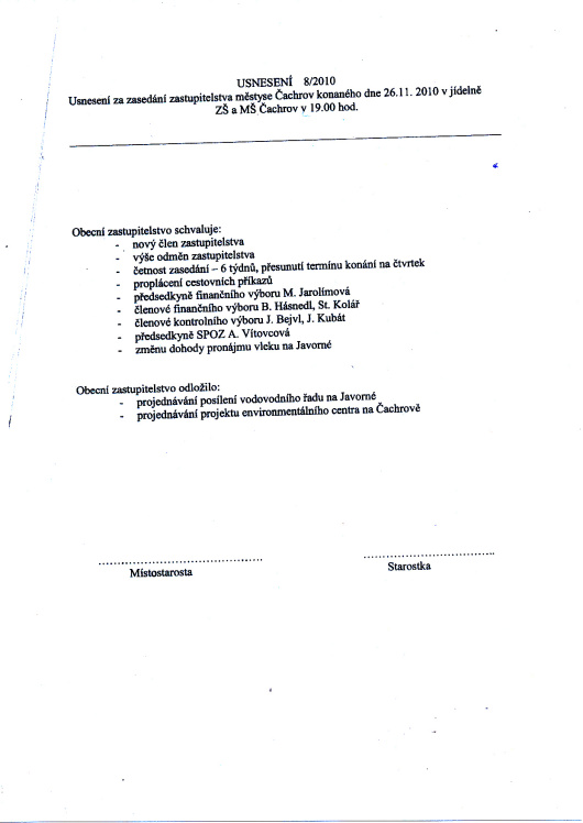
Požádal jsem o předložení sporného usnesení jež údajně zakazuje pořizování videozáznamů ze zasedání zastupitelstva, neboť usnesení č. 8/2000 na stránkách městy zveřejněno není a jak vidno níže, usnesení č. 8/2010, vyvěšené na úřední desce městyse dlouhou řadu měsíců, nic takového neříká.
A zde odpověď a usnesení nové.
A zde odpověď a usnesení nové.
V. Zahrádka
Re: Videozáznamy veřejných zastupitelstev
Poněkud mylná interpretace řekl bych... Žádost není upozornění, tedy místo "děkuji za..." by mělo být "omlouvám se..."
Ale to Vánoce jsou častěji, nežli omluva zdejší vrchnosti.
Děkovačku mohla pí. starostka vyšvihnout na posledním zasedání zastupitelstva, když byla upozorněna, že porušuje zákony. Ale tehdá jsme měli pochopit, že kdo je "slušný", na toho se zákony nevztahují.
Bych blil velebnosti...
Ale to Vánoce jsou častěji, nežli omluva zdejší vrchnosti.
Děkovačku mohla pí. starostka vyšvihnout na posledním zasedání zastupitelstva, když byla upozorněna, že porušuje zákony. Ale tehdá jsme měli pochopit, že kdo je "slušný", na toho se zákony nevztahují.
Bych blil velebnosti...
Honza Bejvl
Re: Videozáznamy veřejných zastupitelstev
Při množství administrativních kroků se chybička může vloudit. Předpokládám, že rozhodující by měl být samotný zápis z konkrétniho jednání, ověřovaný dvěma zastupiteli a v knize zápisů a v mnohých pamětech ještě uložený.
Spíše mě zajímá další vývoj "revolučních" snah osvícených jedinců, Honzíkovy odkazy už jsou poněkud zmatečné a ani ostatní projevy nesvědčí o přehnané snaze získávat informace, je spoléháno na spasitelnost videozáznamů.
Odhaduji vývoj ve dvou variantách:
1. Orgány odhodlané pomáhat a chránit vyvedou partizány i s kamerou z jednání.
2. Starostka ponechá kameru bez povšimnutí a povede jednání dle programu. Jednak proto, že je nutné některé programové body splnit v nějakém časovém limitu (o těch zřejmě opozice nemá nejmenší tušení), ale hlavně proto, že zhlédnutí videa může pro mnohé posloužit jako zdroj poučení, a pro zbylou většinu spíše jako zdroj zábavy.
Sám bych se přikláněl ke druhé variantě - zkuste si to ještě jednou prohlédnout!
Spíše mě zajímá další vývoj "revolučních" snah osvícených jedinců, Honzíkovy odkazy už jsou poněkud zmatečné a ani ostatní projevy nesvědčí o přehnané snaze získávat informace, je spoléháno na spasitelnost videozáznamů.
Odhaduji vývoj ve dvou variantách:
1. Orgány odhodlané pomáhat a chránit vyvedou partizány i s kamerou z jednání.
2. Starostka ponechá kameru bez povšimnutí a povede jednání dle programu. Jednak proto, že je nutné některé programové body splnit v nějakém časovém limitu (o těch zřejmě opozice nemá nejmenší tušení), ale hlavně proto, že zhlédnutí videa může pro mnohé posloužit jako zdroj poučení, a pro zbylou většinu spíše jako zdroj zábavy.
Sám bych se přikláněl ke druhé variantě - zkuste si to ještě jednou prohlédnout!
Re: Videozáznamy veřejných zastupitelstev
Překrucování a podsouvání je Vaše parketa Karle, to víme. Můžeme tu snad někde číst, že chyba se nemůže stát?? Stejně tak jako je lidské chyby dělat, je také normální se za ně omlouvat. To je oč tu běží a co se vštěpuje již malým dětem. Těžko pak věřit někomu, kdo postrádá tento základ, kázání o slušném chování.
Zápis ze zasedání zastupitelstva je ověřen dvěma podpisy zastupitelů stejně, jako je ověřeno dvěma podpisy usnesení. Je zde pouze drobný rozdíl. Usnesení podepisuje starosta s místostarostou a navíc je (nebo by alespoň mělo být) opatřeno kulatým razítkem se státním znakem. Jaké místo tedy zaujímají tyto listiny na pomyslném řebříčku důležitosti asi není potřeba více vysvětlovat a je velmi úsměvné, jak lety prověření zastupitelé, starostové a místostarostové tápou…
Prohlédnutí videa určitě doporučuji. Pasáže kde pan Karel odkrývá svoji zálibu v natáčení dámských toalet apod., opravdu dokreslují skutečnou kvalitu zdejších rádoby vůdců.
Snad byste nám tu mohl alespoň vyjmenovat konkrétní programové body včetně jejich časových limitů tak, aby ti nic netušící tušit začali.
Jen si říkám, kde se asi stala chyba, že ani jedna z Vašich variant nedošla své realizace již na posledním zasedání ZM. Kromě poněkud přehřátých mozkoven některých jedinců nevím o překážce, jež by tomu bránila.
Zápis ze zasedání zastupitelstva je ověřen dvěma podpisy zastupitelů stejně, jako je ověřeno dvěma podpisy usnesení. Je zde pouze drobný rozdíl. Usnesení podepisuje starosta s místostarostou a navíc je (nebo by alespoň mělo být) opatřeno kulatým razítkem se státním znakem. Jaké místo tedy zaujímají tyto listiny na pomyslném řebříčku důležitosti asi není potřeba více vysvětlovat a je velmi úsměvné, jak lety prověření zastupitelé, starostové a místostarostové tápou…
Prohlédnutí videa určitě doporučuji. Pasáže kde pan Karel odkrývá svoji zálibu v natáčení dámských toalet apod., opravdu dokreslují skutečnou kvalitu zdejších rádoby vůdců.
Snad byste nám tu mohl alespoň vyjmenovat konkrétní programové body včetně jejich časových limitů tak, aby ti nic netušící tušit začali.
Jen si říkám, kde se asi stala chyba, že ani jedna z Vašich variant nedošla své realizace již na posledním zasedání ZM. Kromě poněkud přehřátých mozkoven některých jedinců nevím o překážce, jež by tomu bránila.
Honza Bejvl
-
Kynčl
- Příspěvky: 267
- Registrován: sob 09. črc 2011 9:04:03
- Bydliště: Praha/Čachrov
- Kontaktovat uživatele:
Re: Videozáznamy veřejných zastupitelstev
Na variantu 1. se opravdu těším protože , žadný rozumný policista toto neudělá ...a pokud se takový policista najde , tak potěš pánbu
tomu se říká flagrantní zneužítí pravomoce veřejného činitele a to je trestný čin s nějakou sazbou ...
Variantu 2. mohla pí starostka udělat už minule ... nikdo jí nebránil ... to jak vyhodnotila situaci minule bylo z mého pohledu chybné, o tom ,že usnesení Městyse je v rozporu s ústavou ani nemluvě ...
No budu se těšit a má kamera taky.
Variantu 2. mohla pí starostka udělat už minule ... nikdo jí nebránil ... to jak vyhodnotila situaci minule bylo z mého pohledu chybné, o tom ,že usnesení Městyse je v rozporu s ústavou ani nemluvě ...
No budu se těšit a má kamera taky.
Jan Kynčl aka Pošťák
Čachrov 50
Čachrov 50
Re: Videozáznamy veřejných zastupitelstev
Vždyť to říkám: pouštět znovu a znovu (někomu to stejně nebude vůbec nic platné), a rozebrat kousek po kousku!
Po krachu minulého jednání došlo v hospodských kuloárech k zajímavé diskusi. Při ní byla vyslovena myšlenka, že žongléři s termíny Listina lidských práv a Ústava ČR (právě ta co oposmluvním kamarádům umožnila opětovný vznik krajských úřadů) museli být signatáři Charty 77! Já nevím, upřesní to někdo?
Po krachu minulého jednání došlo v hospodských kuloárech k zajímavé diskusi. Při ní byla vyslovena myšlenka, že žongléři s termíny Listina lidských práv a Ústava ČR (právě ta co oposmluvním kamarádům umožnila opětovný vznik krajských úřadů) museli být signatáři Charty 77! Já nevím, upřesní to někdo?
Re: Videozáznamy veřejných zastupitelstev
Tomuto tlachání energii věnovat nehodlám. Alkoholní psycho... vzešlé z "h.kuloáru" kde počet jedinců nepřesahuje tristní počet žáků na zdejší ZŠ je opravdu hodnotné
Za administrátory přeji všem příjmené svátky a úspěšný rok 2015.
Za administrátory přeji všem příjmené svátky a úspěšný rok 2015.
Honza Bejvl
-
Kynčl
- Příspěvky: 267
- Registrován: sob 09. črc 2011 9:04:03
- Bydliště: Praha/Čachrov
- Kontaktovat uživatele:
Re: Videozáznamy veřejných zastupitelstev
TAK PRO MENTÁLNÍ GIGANTY ještě jednou:
Nahrávání obecního zastupitelstva je naprosto legitimní, nedělám to proto abych něco rozvracel, natáčím to pro informovanost a transparentnost, současné a i minulé vedení rozhodně neinformovalo v takové šíři jak by mělo.
Ještě k tématu co je slušné a co není slušné:
Rozhodně není slušné aby si zastupitelém v průběhu mandátu prodávali obecní majetek.
Není slušné si v průběhu mandátu přihrát pozemky pod obecním movitým majetkem ...
Není slušné těsně před volbami začít nekvalitně opravovat obecní majetek ...
A tak dále a tak dále
Duševní pochody Karla v příspěvku s kraji a Chartou 77 také nechápu, doporučuji návštěvu Dr.Chocholouška
Nahrávání obecního zastupitelstva je naprosto legitimní, nedělám to proto abych něco rozvracel, natáčím to pro informovanost a transparentnost, současné a i minulé vedení rozhodně neinformovalo v takové šíři jak by mělo.
Ještě k tématu co je slušné a co není slušné:
Rozhodně není slušné aby si zastupitelém v průběhu mandátu prodávali obecní majetek.
Není slušné si v průběhu mandátu přihrát pozemky pod obecním movitým majetkem ...
Není slušné těsně před volbami začít nekvalitně opravovat obecní majetek ...
A tak dále a tak dále
Duševní pochody Karla v příspěvku s kraji a Chartou 77 také nechápu, doporučuji návštěvu Dr.Chocholouška
Jan Kynčl aka Pošťák
Čachrov 50
Čachrov 50
Re: Videozáznamy veřejných zastupitelstev
Karel zřejmě psal svůj příspěvek po návratu z kuloáru...
Neboj Jendo... Ti, kterých se to týká velmi dobře vědí. Jenže MOC a její zneužívání ve vlastní prospěch, je pro ně něco jako droga. A jak se chovají drogově závislí, jeli ohrožen přísun "ňamky", víme všichni. Přesně tento pocit nyní mají a ta potřeba je prostě silnější než respekt k zákonům, dobrým mravům atd.
Způsob jejich uvažování je velmi názorně prezentován zde:
https://www.youtube.com/watch?v=OKr2YoHvexM
Byl také věděcky ověřen ve známém experimentu.
http://psychologie.cz/jak-muze-chutnat-moc/
Neboj Jendo... Ti, kterých se to týká velmi dobře vědí. Jenže MOC a její zneužívání ve vlastní prospěch, je pro ně něco jako droga. A jak se chovají drogově závislí, jeli ohrožen přísun "ňamky", víme všichni. Přesně tento pocit nyní mají a ta potřeba je prostě silnější než respekt k zákonům, dobrým mravům atd.
Způsob jejich uvažování je velmi názorně prezentován zde:
https://www.youtube.com/watch?v=OKr2YoHvexM
Byl také věděcky ověřen ve známém experimentu.
http://psychologie.cz/jak-muze-chutnat-moc/
Honza Bejvl
Re: Videozáznamy veřejných zastupitelstev
Nesmyslné usnesení zrušeno - uznáno vrchností, že audiovizuální záznamy ze zasedání zastupitelstva pořizovat lze. Ani tentokrát se to však neobešlo bez teatrálních záležitostí. Je smutné, že ani pan místostarosta nebyl schopen od minulého zasedání nahlédnout do zákona a místo fundovaných výroků se oháněl "soudruhy". Je bláhové se domnívat, že nám vládnou lidé jejichž morální a odborné kvality by měly být příkladem. Člověk, který vykonává mandát za odměny z veřejných financí, přitom ignoruje zákony této republiky (byť se k jejich respektování ve svém slibu zastupitele zavázal) a veřejně uráží druhé, není rozhodně vzorem, natož osobností zasluhující si náš respekt.
Honza Bejvl